admin
Cidades
Centro cirúrgico do HMB amplia horário para tentar zerar fila de...
A Prefeitura de Barueri divulgou nesta semana ter ampliado o contrato com o Hospital Municipal Dr. Francisco Moran (HMB) para aumentar o...
Cidades
Cerimônia promovida pela Prefeitura celebra união de 19 casais no Casamento...
No final do último mês de maio a Secretaria de Desenvolvimento Social da Prefeitura de Jandira, em colaboração com o Fundo Social...
Cidades
Nova sede da 4ª Cia da Polícia Militar foi inaugurada na...
A nova sede da 4ª Companhia do 14º BPM/M, em Osasco, foi inaugurada na quinta-feira da semana passada, dia 20/6. Uma cerimônia...
Cidades
Itapevi entra no roteiro da LBV para entrega de cobertores a...
Em razão da chegada do inverno e das temperaturas mais frias, a Legião da Boa Vontade (LBV) tem intensificado sua atuação humanitária...
Cidades
Notas Gerais
VAGAS PARA CURSOS PROFISSIONALIZANTES GRATUITOS
A Prefeitura de Itapevi e a Praça da Cidadania estão oferecendo uma série de...
Cidades
Rogério Lins promove lançamento de obras de modernização da UBS do...
UBS do Jardim Veloso será ampliada e passará a contar com 10 consultórios e farmácia
Na terça-feira, dia 18...
Esportes
Palmeiras já se aproxima dos líderes do Brasileirão 2024
Palmeiras se aproxima dos líderes e Corinthians volta ao Z4 do Brasileirão 2024
Por Marcelino Lima
Cidades
População celebra São João Batista, padroeiro de Barueri
Na próxima segunda-feira, dia 24 de junho, a cidade de Barueri celebra seu Santo Padroeiro, uma dos mais festejados nesta época junina...
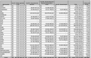
Política Regional
Fundo distribuirá R$ 4,9 bilhões às campanhas de 29 partidos inscritos...
Cumprindo determinações de seu Calendário Eleitoral e à legislação eleitoral em vigor, o Tribunal Superior Eleitoral (TSE) divulgou na segunda-feira, dia 17/6,...
Cultura
Marília Lopes faz show ao vivo e gratuito no Sesi Osasco
Ex-participante do The Voice, Marília Lopes, se apresenta de graça no Teatro do Sesi Osasco
Neste domingo, dia 23...














































